Povinné zverejňovanie - zmluvy
| Číslo zmluvy / Zmluvná starana / Popis | Dátum zverejnenia / Príloha |
|---|---|
|
71/2012, MUDr. Jarmila Rosenbergerová, Prenájom hrobového miesta |
27.11.2012 |
|
51/2012, Anton Lauko, Prenájom hrobového miesta |
27.11.2012 |
|
18/2012, Jozef Gregáň, Prenájom hrobového miesta |
27.11.2012 |
|
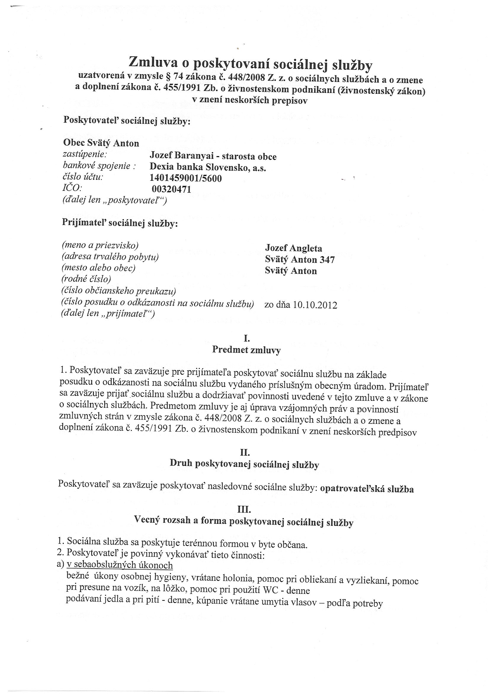
60/2012, Jozef Angleta, Svätý Anton 347, Zmluva o poskytovaní sociálnej služby |
20.11.2012 |
|
700/2012, Kamil Pavlík, Prenájom hrobového miesta |
13.11.2012 |
|
470/2012, Anton Jusko, Prenájom hrobového miesta |
13.11.2012 |
|
329/2012, Emil Gajdoš, Prenájom hrobového miesta |
13.11.2012 |
|
119/2012, Ľudmila Krajčušková, Prenájom hrobového miesta |
13.11.2012 |
|
54/2012, Jozef Pállya, Prenájom hrobového miesta |
13.11.2012 |
|
12/2012, Kamil Pavlík, Prenájom hrobového miesta |
13.11.2012 |
